
10月20日,根据《国家药监局关于<已使用化妆品原料目录>管理有关事项的公告》,国家药监局对《已使用化妆品原料目录》(以下简称《目录》)进行第二次动态调整。月桂酰丙氨酸、聚甲基倍半硅氧烷/三甲基硅烷氧基硅酸酯、双-鲸蜡硬脂基氨端聚二甲基硅氧烷等3个化妆品新原料安全监测期已满3年,经评估符合《化妆品监督管理条例》等相关规定,纳入《目录》Ⅱ。《目录》Ⅰ对有关原料的中文名称或者INCI名称/英文名称予以规范等。
此外,《目录》查询页面增加了“修订建议”功能,方便行业企业和公众提出意见和建议。国家药监局将对收集到的意见认真组织研究、吸纳,积极推动《目录》持续修订完善。
具体信息如下:
01 月桂酰丙氨酸
| 序号 | 3 |
| 中文名称 | 月桂酰丙氨酸 |
| INCI 名称 | LAUROYL ALANINE |
| 英文名称 | N-LAUROYL-L-ALANINE |
| CAS 号 | 52558-74-4 |
| 原料分子式 | C15H29NO3 |
| 化学结构式 | ![]() |
| 相对分子量 | 271.40 |
| 使用目的 | 清洁剂 |
| 安全使用范围 | 各类化妆品(可能具有吸入风险的化妆品除外) |
| 安全使用量 | 淋洗类化妆品20%;驻留类化妆品1% |
| 备注 | / |
| 纳入目录日期 | |
| 历史记录 | / |
02 聚甲基倍半硅氧烷/三甲基硅烷氧基硅酸酯
| 序号 | 4 |
| 中文名称 | 聚甲基倍半硅氧烷/三甲基硅烷氧基硅酸酯 |
| INCI 名称 | POLYMETHYLSILSESQUIOXANE/TRIMETHYLSILOXYSILICATE |
| 英文名称 | POLYMETHYLSILSESQUIOXANE/TRIMETHYLSILOXYSILICATE |
| CAS 号 | 1402155-47-8 |
| 原料分子式 | [SiO4/2]m[(CH3)SiO3/2]n [(CH3)3SiO1/2]k其中 m:n:k = 2.71:1:1 |
| 化学结构式 | ![]() |
| 相对分子量 | / |
| 使用目的 | 成膜剂 |
| 安全使用范围 | 各类化妆品(可能具有吸入风险的化妆品除外) |
| 安全使用量 | 30% |
| 备注 | / |
| 纳入目录日期 | |
| 历史记录 | / |
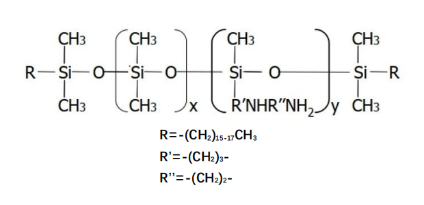
03 双-鲸蜡硬脂基氨端聚二甲基硅氧烷
| 序号 | 5 |
| 中文名称 | 双-鲸蜡硬脂基氨端聚二甲基硅氧烷 |
| INCI 名称 | BIS-CETEARYL AMODIMETHICONE |
| 英文名称 | / |
| CAS 号 | 1126942-72-0 |
| 原料分子式 | [(CH3)2SiO]x[(CH3)(C3H6NHC2H4NH2)SiO]y[(CH3)2(C16H33~C18H37)SiO0.5]2 |
| 化学结构式 | ![]() |
| 相对分子量 | / |
| 使用目的 | 发用调理剂 |
| 安全使用范围 | 发用产品(可能具有吸入风险的化妆品除外) |
| 安全使用量 | 10% |
| 备注 | / |
| 纳入目录日期 | |
| 历史记录 | / |





